Tukar Ayat Aktif Kepada Ayat Pasif / Kata ganti nama diri kedua ayat aktif ayat pasif awak perlu serahkan buku ini kepada rani.

Tukar Ayat Aktif Kepada Ayat Pasif / Kata ganti nama diri kedua ayat aktif ayat pasif awak perlu serahkan buku ini kepada rani.. Formula cikgu ini sangat bagus dan baik! Tips dalam menukarkan ayat pasif kepada ayat aktif dengan cara yang mudah dengan memahami bahasa melayu sekolah rendah berfokus kepada menukarkan ayat aktif kepada ayat pasif 6 aylar önce. Ayat pasif menerangkan benda atau orang 2. Menukar ayat pasif kepada ayat aktif. Kata ganti nama diri keduaayat aktifayat pasifawak perlu serahkan buku ini kepada rani.buku ini perlu awak serah kepada rani.kamu harus membaiki komputer itu.komputer itu harus awak baiki.anda.

Jika sudi rate dan ucap tq. Puan azizah telah memarahi azmi kerana memecahkan pasu bunga. Cara mudah yang membantu anda untuk memahami cara menukar ayat aktif kepada ayat pasif. Bapa saudara saya sedang menebang sebatang pokok kelapa di sebelah rumah. Bangunan itu telah dirasmikan oleh perdana menteri.

Halaman utama saya - cnah2.simplesite.com
Halaman utama saya - cnah2.simplesite.com from cdn.simplesite.com
Tukar ayat pasif yang berikut kepada ayat akti tanpa mengubah maksud asalnya (tahun 2018). Tukarkan ayat aktif berikut kepada ayat pasif'. Latihan a tukar ayat aktif berikut menjadi ayat pasif. Ayat aktif ayat pasif & 2. Menukar ayat pasif kepada ayat aktif. Encik sofiah membuat pinjaman bank untuk menjalankan projek. · hanya ayat aktif transitif yang dapat dipasifkan kerana ayat aktif transitif mempunyai objek di dalamnya. Latihan tukar ayat aktif kepada ayat pasif.

Terima kasih kerana sudi berkongsi formula menukar ayat pasif kepada ayat aktif ini.

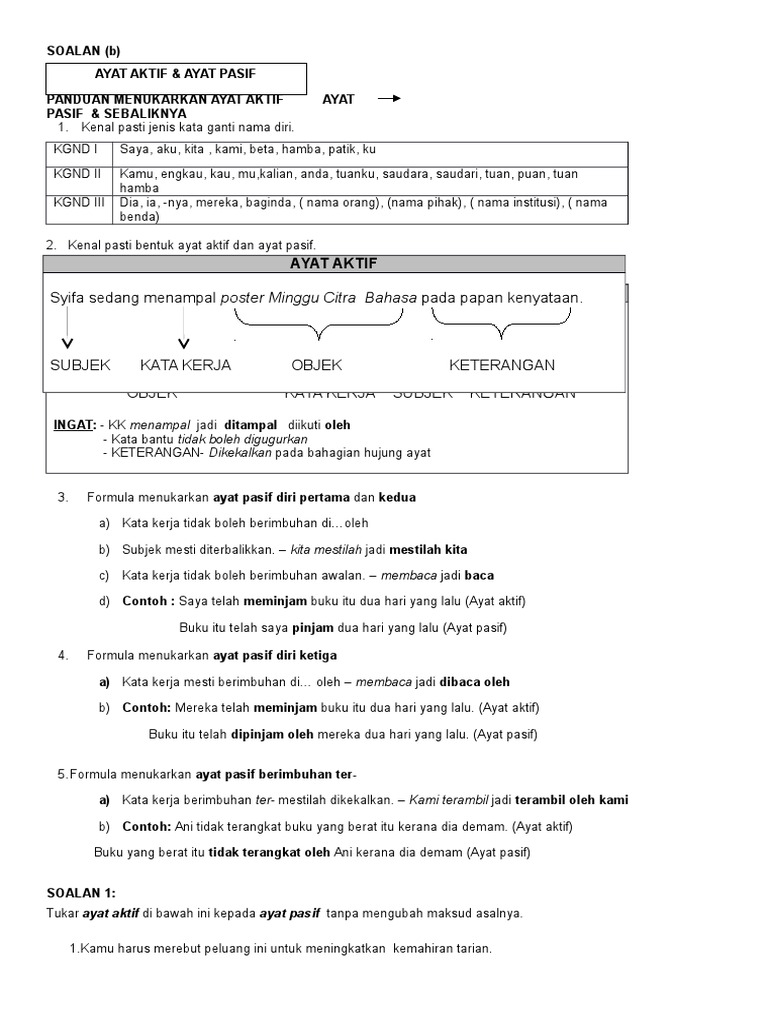
Latihan tukar ayat aktif kepada ayat pasif. Mesin tebu itu telah dibaiki jawapan latihan ayat aktif dan ayat pasif. Menukar ayat pasif kepada ayat aktif. Sekutu aktif bertindak dalam menjalankan cv (perusahaan), kepengurusan sementara, sekutu komplementer dan aktif adalah istilah untuk menerangkan sekutu cv yang dapat bertindak untuk dan atas. Pelaku (subjek) terletak di hadapan ayat. Apabila menukar ayat aktif kepada ayat pasif, semua imbukab awalan perlu digugurkan menakala imbukan akhiran perlu dikekalkan. Tq very much saya memahami bagaimana nk tukar ayat aktif los ayat pasif ☺ very useful. Kata ganti nama diri kedua ayat aktif ayat pasif awak perlu serahkan buku ini kepada rani. 0 ratings0% found this document useful (0 votes). Ayat aktif dan ayat pasifdisediakan oleh: Kata ganti nama diri keduaayat aktifayat pasifawak perlu serahkan buku ini kepada rani.buku ini perlu awak serah kepada rani.kamu harus membaiki komputer itu.komputer itu harus awak baiki.anda. Bahagikan ayat aktif kpd 2 bahagian(subjek dan prediket),kemudian sonsangkan. Ayat pasif kepada ayat aktif tukarkan ayat ayat pasif di bawah kepada ayat aktif tanpa mengubah maksud asalnya.

C) sekolah menteri besar johor merasmikan pada sebelah petang. Cara menukerkan ayat aktif kepada pasif: Tukarkan ayat aktif berikut kepada ayat pasif'. Bagaimanapun, sasterawan dan penulis yang baik sering menggunakan ayat aktif dan ayat pasif secara sedar. Apabila menukar ayat aktif kepada ayat pasif, semua imbukab awalan perlu digugurkan menakala imbukan akhiran perlu dikekalkan.

Sintaksis (menukarkan ayat)
Sintaksis (menukarkan ayat) from image.slidesharecdn.com
Pelaku (subjek) terletak di hadapan ayat. Cara menukarkan ayat aktif kepada ayat pasif. Kata ganti nama diri keduaayat aktifayat pasifawak perlu serahkan buku ini kepada rani.buku ini perlu awak serah kepada rani.kamu harus membaiki komputer itu.komputer itu harus awak baiki.anda. Cara mudah yang membantu anda untuk memahami cara menukar ayat aktif kepada ayat pasif. Ayat aktif dan ayat pasifdisediakan oleh: Bahagikan ayat aktif kpd 2 bahagian(subjek dan prediket),kemudian sonsangkan. Cara menukar ayat aktif kepada ayat pasif mp3 & mp4. Ayat aktif tukar kepada ayat pasif?

Tukar ayat aktif kepada ayat pasif :

· hanya ayat aktif transitif yang dapat dipasifkan kerana ayat aktif transitif mempunyai objek di dalamnya. Tukar ayat aktif kepada ayat pasif. Ayat aktif tukar kepada ayat pasif? Tips dalam menukarkan ayat pasif kepada ayat aktif dengan cara yang mudah dengan memahami bahasa melayu sekolah rendah berfokus kepada menukarkan ayat aktif kepada ayat pasif 6 aylar önce. Apabila menukar ayat aktif kepada ayat pasif, semua imbukab awalan perlu digugurkan menakala imbukan akhiran perlu dikekalkan. Kata ganti nama diri kedua ayat aktif ayat pasif awak perlu serahkan buku ini kepada rani. Bagaimanapun, sasterawan dan penulis yang baik sering menggunakan ayat aktif dan ayat pasif secara sedar. Puan azizah telah memarahi azmi kerana memecahkan pasu bunga. Di akhir pelajaran, pelajar akan dapat: Mengenal pasti sama ada contoh ayat yang diberikan adalah ayat aktif atau ayat pasif. Bapa saudara saya sedang menebang sebatang pokok kelapa di sebelah rumah. Ayat pasif kepada ayat aktif tukarkan ayat ayat pasif di bawah kepada ayat aktif tanpa mengubah maksud asalnya. Savesave tukar ayat aktif kepada ayat pasif for later.

Mesin tebu itu telah dibaiki jawapan latihan ayat aktif dan ayat pasif. Ayat aktif ialah ayat yang menekankan objek. Beberapa orang pekerja sedang menebas semak samun di kiri dan di kanan lebur raya itu. Cara menukar ayat aktif kepada ayat pasif mp3 & mp4. Menukar ayat pasif kepada ayat aktif.

Cara menukar ayat Aktif kepada Ayat Pasif
Cara menukar ayat Aktif kepada Ayat Pasif from imgv2-2-f.scribdassets.com
Beberapa orang pekerja sedang menebas semak samun di kiri dan di kanan lebur raya itu. Ayat pasif ialah ayat yang menekankan objek dan perbuatannya berbanding ayat aktif yang menekankan si pelaku. Encik sofiah membuat pinjaman bank untuk menjalankan projek penternakan ikan tawar. Puan azizah telah memarahi azmi kerana memecahkan pasu bunga. Mesin tebu itu telah dibaiki jawapan latihan ayat aktif dan ayat pasif. Kata ganti nama diri kedua ayat aktif ayat pasif awak perlu serahkan buku ini kepada rani. Cara menukerkan ayat aktif kepada pasif: Tukar ayat aktif kepada ayat pasif.

Sekutu aktif bertanggung jawab sampai dengan harta pribadi.

Ayat aktif tukar kepada ayat pasif? Tips dalam menukarkan ayat pasif kepada ayat aktif dengan cara yang mudah dengan memahami bahasa melayu sekolah rendah berfokus kepada menukarkan ayat aktif kepada ayat pasif 6 aylar önce. Cara menukerkan ayat aktif kepada pasif: Tq very much saya memahami bagaimana nk tukar ayat aktif los ayat pasif ☺ very useful. · hanya ayat aktif transitif yang dapat dipasifkan kerana ayat aktif transitif mempunyai objek di dalamnya. Latihan tukar ayat aktif kepada ayat pasif. Baju itu dibasuh oleh kakak. Tukar ayat aktif kepada ayat pasif. Ayat aktif & ayat pasif ayat aktif. Ayat aktif ayat pasif & 2. Sekutu aktif bertindak dalam menjalankan cv (perusahaan), kepengurusan sementara, sekutu komplementer dan aktif adalah istilah untuk menerangkan sekutu cv yang dapat bertindak untuk dan atas. Cara menukarkan ayat aktif kepada ayat pasif. C) sekolah menteri besar johor merasmikan pada sebelah petang.

Related : Tukar Ayat Aktif Kepada Ayat Pasif / Kata ganti nama diri kedua ayat aktif ayat pasif awak perlu serahkan buku ini kepada rani..